Caps clarification

Do-it-yourself pedal building

Moderator: Ghost Hip

Forum rules
The DIY forum is for personal projects (things that are not for sale, not in production), info sharing, peer to peer assistance. No backdoor spamming (DIY posts that are actually advertisements for your business). No clones of in-production pedals. If you have concerns or questions, feel free to PM admin. Thanks so much!
Post Reply
User avatar
jfrey
Supporter
Supporter
Posts: 5240
Joined: Wed Apr 14, 2010 10:58 am
Location: Boston, MA

Caps clarification

Post by jfrey »

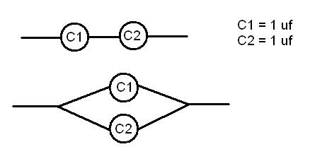
Another noob question for the ILF diy wizards. I read that you can add caps together to replace higher value caps.

Say I wanted 2 uf for example, and I had (2) 1 uf caps. Which of these arrangements would equal 2 uf?
caps.JPG
caps.JPG (9.98 KiB) Viewed 758 times
D.o.S. wrote:You're like a walking Mad Men episode.
BitchPudding wrote:DO WHAT MUST BE DONE, LORD JFREY.
friendship wrote:one cool thing about living is that things get worse and worse and worse until you die
My music rec Twitter: https://twitter.com/MostlyEssential
User avatar
Scruffie
Admin
Admin
Posts: 4647
Joined: Sun Jun 07, 2009 8:46 pm
Location: London.. ish, Uk

Re: Caps clarification

Post by Scruffie »

The Bottom Picture.

Caps Add In Parallel, Resistors Divide.

Resistors Add in Series so that means Caps...
User avatar
jfrey
Supporter
Supporter
Posts: 5240
Joined: Wed Apr 14, 2010 10:58 am
Location: Boston, MA

Re: Caps clarification

Post by jfrey »

...Divide?

So the top picture would have what value? 1 uf? Would there ever be a point then to having caps in series?
D.o.S. wrote:You're like a walking Mad Men episode.
BitchPudding wrote:DO WHAT MUST BE DONE, LORD JFREY.
friendship wrote:one cool thing about living is that things get worse and worse and worse until you die
My music rec Twitter: https://twitter.com/MostlyEssential
User avatar
Scruffie
Admin
Admin
Posts: 4647
Joined: Sun Jun 07, 2009 8:46 pm
Location: London.. ish, Uk

Re: Caps clarification

Post by Scruffie »

Correct, well it's actually a little different that, it's to do with Conductances, you'd need to know ohms law, but that's it simplified, you can use this sum to find out the value of Parallel Resistors - R1*R2/(R1+R2).

Caps in Series share the same Sum - C1*C2/(C1+C2) so you'd actually have 500nF or thereabouts.

So yes if you need a value you don't have it can be useful or say you have a 3 way toggle, it's handy in that situation to know how to get the resistance/capactiance you need for each throw of the switch with different values.
User avatar
jfrey
Supporter
Supporter
Posts: 5240
Joined: Wed Apr 14, 2010 10:58 am
Location: Boston, MA

Re: Caps clarification

Post by jfrey »

Ok, I get it now. Thanks!
D.o.S. wrote:You're like a walking Mad Men episode.
BitchPudding wrote:DO WHAT MUST BE DONE, LORD JFREY.
friendship wrote:one cool thing about living is that things get worse and worse and worse until you die
My music rec Twitter: https://twitter.com/MostlyEssential
User avatar
randel_07
committed
committed
Posts: 348
Joined: Fri Aug 10, 2007 4:35 pm
Location: East Bay Area, CA

Re: Caps clarification

Post by randel_07 »

or if you want

1/Ceq = 1/C1 + 1/C2 + ...... 1/Cn
aen wrote:"We're going to DI the bass"
Oh, no you're not, christian acoustic soundguy.
Post Reply